Product Summary
The ff300r06ke3 is a 62mm C-Series module with trench/fieldstop IGBT3, EmCon3 diode and M5 power terminals.
Parametrics
ff300r06ke3 absolute maximum ratings: (1) collector-emitter voltage VCES: 600V (Tvj=25°C) ; (2) DC-collector current IC nom: 400A (Tc=125°C, Tvj=175°C) ; (3) repetitive collector current ICRM: 600A (tp=1ms) ; (4) total power dissipation Ptot: 940W (Tc=25°C, Tvj=175°C) ; (5) gate-emitter peak voltage VGES: ±20V.
Features
ff300r06ke3 features: (1) collector-emitter saturation voltage VCE sat: 1.6V (IC=300A, VGE=15V, Tvj=125°C) , 1.7V (IC=300A, VGE=15V, Tvj=150°C) ; (2) gate thresold voltage VGEtn: 4.9 to 6.5V (Ic=12mA, VCE=VGE, Tvj=25°C) ; (3) internal gate resistor RGin: 1Ω (Tvj=25°C) ; (4) collector-emitter cut-off currentICES: 5mA (VCE=600V, VGE=0V, Tvj=25°C) ; (5) gate-emitter leakage current IGES: 400nA (VCE=0V, VGE=20V, Tvj=25°C) .
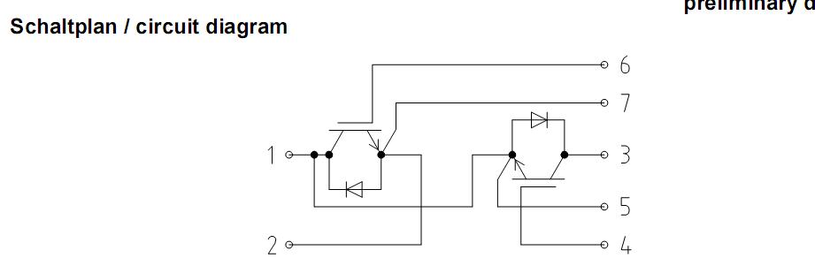
Diagrams

| Image | Part No | Mfg | Description |  | Pricing (USD) | Quantity | ||||||||
|---|---|---|---|---|---|---|---|---|---|---|---|---|---|---|
|  |  FF300R06KE3 |  Infineon Technologies |  IGBT Modules N-CH 600V 400A |  Data Sheet |  
 |  | ||||||||
|  |  FF300R06KE3_B2 |  Infineon Technologies |  IGBT Modules IGBT 600V 300A |  Data Sheet |  
 |  | ||||||||
 (China (Mainland))
 (China (Mainland)) 
                         
                        
 
                                    




