Product Summary
The bsm100gb120dlc is an IGBT module.
Parametrics
bsm100gb120dlc absolute maximum ratings: (1) collector-emitter voltge VCES: 1200V; (2) DC-collector current Tc=80°C, IC.nom: 100A, Tc=25°C, Ic: 200A; (3) repetitive peak collector current tp=1ms, Tc=80°C, ICRM: 200A; (4) total power dissipation Tc=25°C,transistor, Ptot: 0.78kW; (5) gate-emitter peak voltage VGES: ±20V; (6) DC forward current Tc=70°C, IF: 100A; (7) repetitive peak forw. current IFRM: 200A; (8) repetitive peak collector current RMS, f=50Hz, t=1min. Visol: 2.5kV.
Features
bsm100gb120dlc features: (1) collector-emitter saturation voltage IC=100A, VGE=15V, Tvj=125°C: 2.4V; (2) gate threshold voltage IC=4mA, VCE=VGE, Tvj=25°C, VGE (th) : 4.5 to 6.5V; (3) input capacitance f=1MHz, Tvj=25°C, VC=25V, VGE=0V Cies: 6.5nF; (4) collector-emitter cut-off current VCE=1200V, VGE=0V, Tvj=125°C, ICES: 500μA; (5) gate-emitter leakage current VCE=0V, VGE=20V, Tvj=25°C, IGES: 400nA.
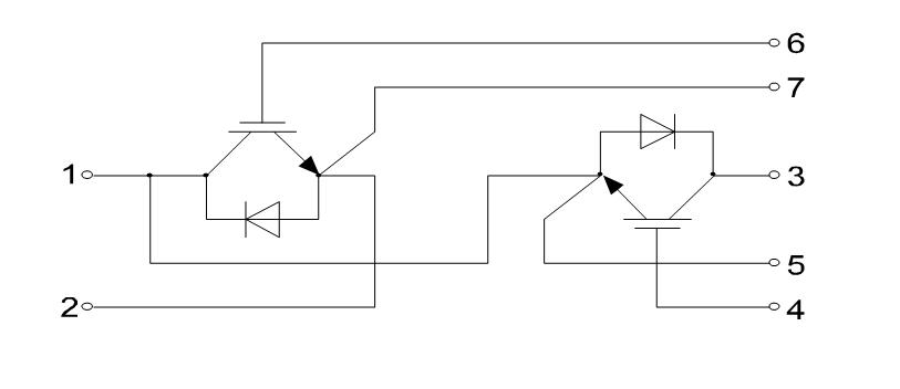
Diagrams

| Image | Part No | Mfg | Description | ![]() |
Pricing (USD) |
Quantity | ||||||||||||
|---|---|---|---|---|---|---|---|---|---|---|---|---|---|---|---|---|---|---|
![]() |
![]() BSM100GB120DLC |
![]() Infineon Technologies |
![]() IGBT Modules 1200V 100A DUAL |
![]() Data Sheet |
![]()
|
|
||||||||||||
![]() |
![]() BSM100GB120DLCK |
![]() Infineon Technologies |
![]() IGBT Modules 1200V 100A DUAL |
![]() Data Sheet |
![]()
|
|
||||||||||||
(China (Mainland))









